花改場--儲藏溫度與時間對百合鱗莖碳水化合物之影響--06
結果
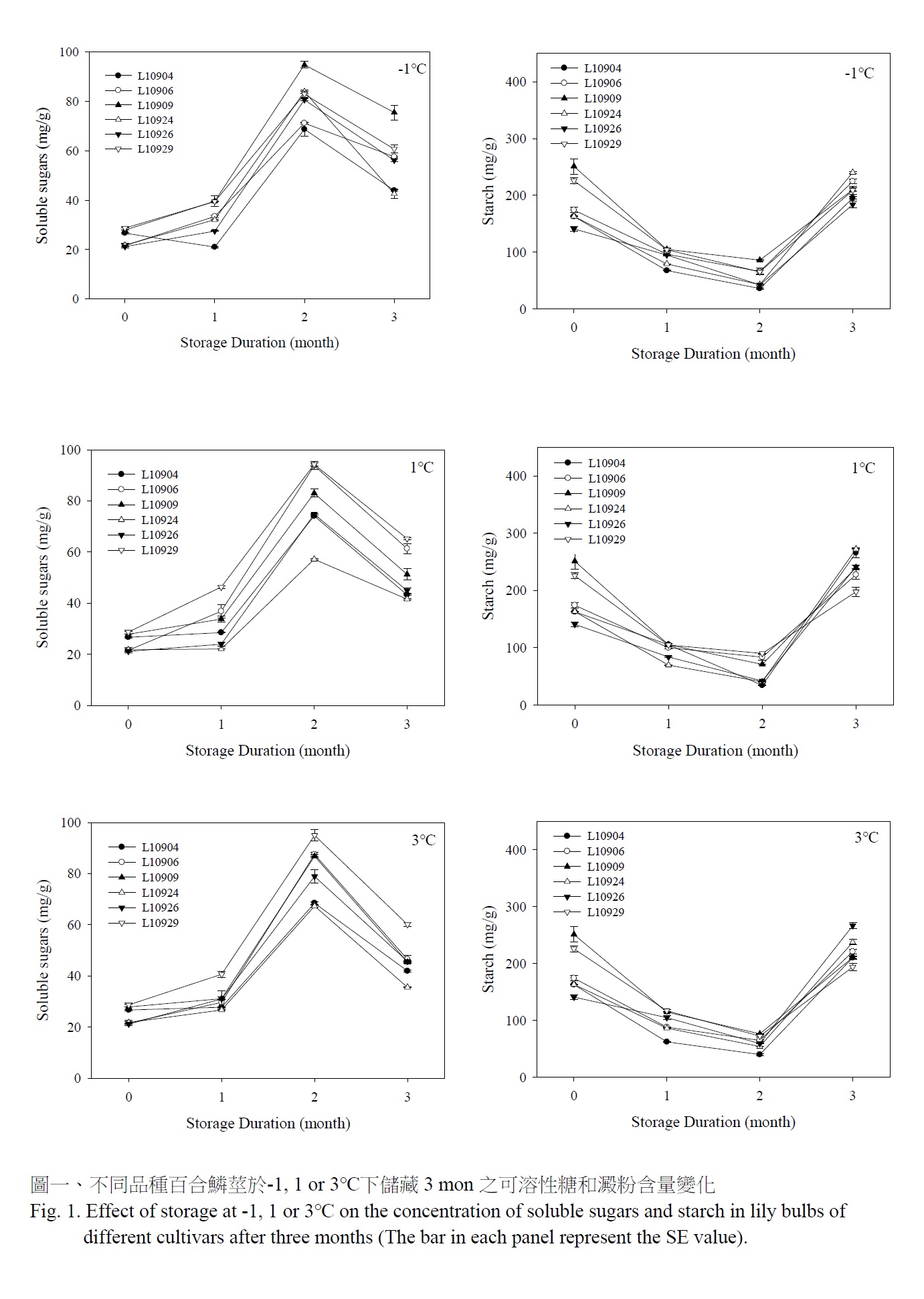
參試6 個百合品種,於低溫儲藏前進行可溶性糖含量分析,不同品種間具顯著差異,以L10929 可溶性糖含量最高為28.7 mg/g,其次為L10904 和L10909 各為26.7 和27.9 mg/g,而L10906、L10924 和L10926 含量較低為21.6、21.8 和21.2 mg/g,不同品種於不同儲藏溫度及時間都具有差異性(表一)。
6 個品種鱗莖於-1、1 和3℃三種溫度儲藏下,隨著儲藏時間可溶性糖含量開始增加,以儲藏2 mon時有最高的可溶性糖含量(圖一),不同品種可溶性糖含量具顯著差異。儲藏1 mon 時L10904、L10906、L10909、L10924、L10926 和L10929 可溶性糖含量分別增加6.74、70.37、41.94、47.25、46.23 和61.32%;儲藏2 mon 時可溶性糖含量最高,分別增加為儲藏前的2.78、4.34、3.40、3.85、3.80 和3.31 倍,其中以儲藏於1℃的L10906 最高可達4 倍,儲藏3 mon 時可溶性糖含量下降,但仍高於儲藏前分析含量。
每個月測量不同品種鱗莖可溶性糖含量,以-1 和1℃儲藏的含量較高,表二顯示儲藏3 mon 時-1℃下L10904、L10909、L10924 和L10926 可溶性糖含量為43.9、75.5、42.6 和56.2 mg/g 顯著高於其他溫度,而L10906 和L10929 於1℃時可溶性糖含量61.4 和65.2 mg/g 較高。
於低溫儲藏前測量不同百合品種澱粉含量具有顯著差異性,表一以L10909 澱粉含量最高為251.1mg/g,其次L10929 為225.8 mg/g,L10904、L10906 和L10924 含量較低為162.9、174.3 和163.3 mg/g,而L10926 最低為141.0 mg/g,不同品種於不同儲藏溫度及時間之澱粉含量都具有差異性(圖一)。不同溫度下百合鱗莖以儲藏2 mon 時澱粉含量最低(圖一),不同品種含量具顯著差異,儲藏2 mon時L10904、L10906、L10909、L10924、L10926 及L10929 最低的澱粉含量下降78.7、62.9、71.6、75.1、70.0 和71.0%。以儲藏於1℃的L10904 澱粉含量最低為34.7 mg/g。
知識樹分類
消費者知識庫 > 園藝類 > 球根花卉 > 球根花卉營養與肥培管理
消費者知識庫 > 園藝類 > 球根花卉 > 球根花卉-其他
消費者知識庫 > 食品科學類 > 食品處理 > 園藝食品處理
相關檔案下載
- 花改場--行動學堂教授油茶管理技術 廣受族人熱烈迴響114/03/14
- 花改場--宜蘭黃金茂谷柑新春上市114/02/24
- 百合科蔬菜之病蟲害發生與管理.pdf113/10/22
- 母親節送禮新選擇—耐熱不退色的石竹「台農 3 號-仲夏瓔珞」113/06/01
- 花蓮區農技報導--文旦全果加工素材量產技術--03113/03/06
- 花蓮區農技報導--文旦全果加工素材量產技術--02113/03/06
- 花蓮區農技報導--文旦全果加工素材量產技術--01113/03/06
- 花蓮區農情月刊--農業、醫療的跨域合作 山苦瓜機能開發 獲國家新創獎肯定113/01/10
- 花改場--儲藏溫度與時間對百合鱗莖碳水化合物之影響--11112/12/14
- 花改場--儲藏溫度與時間對百合鱗莖碳水化合物之影響--11112/12/14








