農業知識庫
花改場--儲藏溫度與時間對百合鱗莖碳水化合物之影響--07
作者:張芝蓉;洪丞瑩;葉育哲
公佈日期:112 年 12 月 14 日
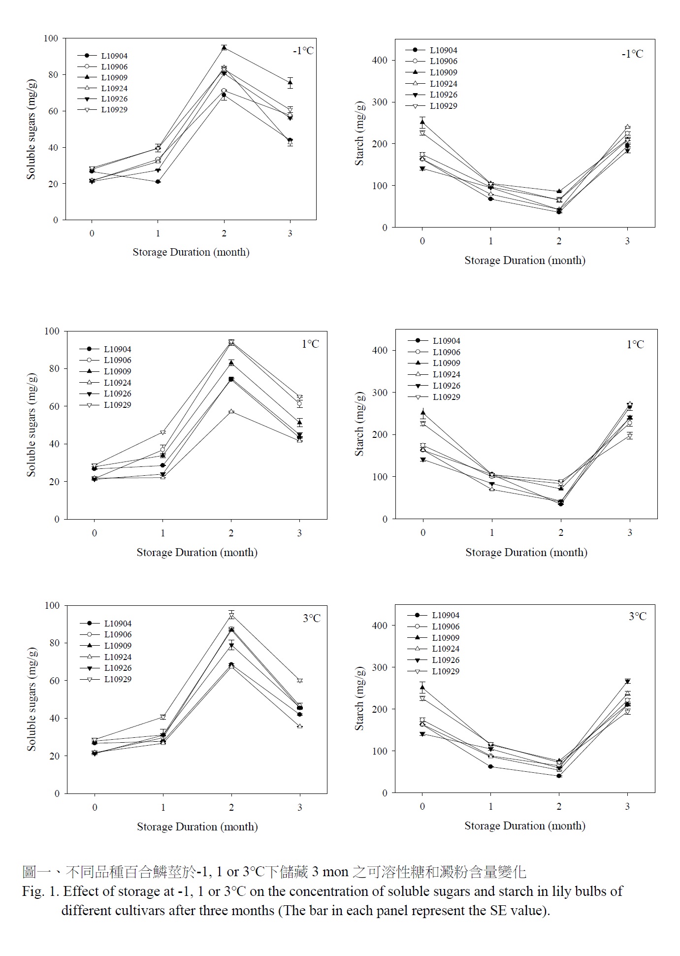
儲藏3 mon 時百合鱗莖澱粉含量提升,以1℃儲藏的澱粉含量較高,表二顯示儲藏3 mon 時1℃下L10904、L10906、L10909 和L10924 澱粉含量為266.0、227.6、240.1 和272.6 mg/g 顯著高於其他溫度,而L10926 和L10929 於3℃和-1℃時澱粉含量為266.7 和208.9 mg/g 較高。
表二中品種、儲藏溫度及時間三個不同處理因子對百合鱗莖可溶性糖和澱粉含量之變方分析,結果顯示不同百合品種、儲藏溫度及儲藏時間極顯著影響百合鱗莖可溶性糖和澱粉含量,且各處理因子間之交感效應對於鱗莖碳水化合物含量具有極顯著影響。
參試6 個百合品種L10904、L10906、L10909、L10924、L10926 及L10929 於-1、1 和3℃於儲藏期間,不同品種的可溶性糖和澱粉含量都有相同變化趨勢(圖一),儲藏後可溶性糖逐漸提升,1 mon 後大幅上升,而2 mon 後時可溶性糖含量下降,相反的澱粉含量於儲藏後開始下降直到儲藏2 mon 時,在3 mon 時澱粉含量提升,其可溶性糖與澱粉含量變化有相反的趨勢,顯示澱粉水解後增加可溶性糖含量。
知識樹分類
消費者知識庫 > 園藝類 > 球根花卉 > 球根花卉營養與肥培管理
消費者知識庫 > 園藝類 > 球根花卉 > 球根花卉-其他
消費者知識庫 > 食品科學類 > 食品處理 > 園藝食品處理
相關檔案下載
延伸閱讀
- 花改場--行動學堂教授油茶管理技術 廣受族人熱烈迴響114/03/14
- 花改場--宜蘭黃金茂谷柑新春上市114/02/24
- 百合科蔬菜之病蟲害發生與管理.pdf113/10/22
- 母親節送禮新選擇—耐熱不退色的石竹「台農 3 號-仲夏瓔珞」113/06/01
- 花蓮區農技報導--文旦全果加工素材量產技術--03113/03/06
- 花蓮區農技報導--文旦全果加工素材量產技術--02113/03/06
- 花蓮區農技報導--文旦全果加工素材量產技術--01113/03/06
- 花蓮區農情月刊--農業、醫療的跨域合作 山苦瓜機能開發 獲國家新創獎肯定113/01/10
- 花改場--儲藏溫度與時間對百合鱗莖碳水化合物之影響--11112/12/14
- 花改場--儲藏溫度與時間對百合鱗莖碳水化合物之影響--11112/12/14








